General Description

The transport equation for an advective state variable concentration c is for­mulated as:

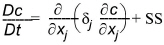
(4.12)   WQLABReferenceManual00039.jpg

where SS is the source/sink term and dj is the dispersion coefficient in the j-direction. You have three options:

·         The dispersion can vary proportionally to the local effective eddy viscos­ity with the factor of proportionality being 1/sT, the dispersion factor. sT is the Prandtl number. Values of sT greater than one imply that diffusive transport is weaker for the concentration c than for momentum.

·         The dispersion coefficients can be specified as being proportional to the local velocity components in each grid direction, e.g. in the x-direction dx is proportional |u|.

·         The dispersion coefficients can vary proportionally to the local current vector, i.e. there are separate dispersions in the longitudinal, the trans­verse and the orthogonal directions.