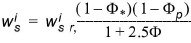
Formulation by Winterwerp (1999)

(5.21)   m3mt_ref00069.jpg

where

(5.22)   m3mt_ref00072.jpg

In which rs is the dry density of the sediment.