Definitions

 

For each Definition dialog you select which of the defined transfer functions that composes the filter. The FIR filter coefficients for a given filter definition must be generated to match the time step of the input time series. For each definition a filter width, and possibly a truncated filter width, must be speci­fied.

Filter width

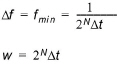
The filter width is as minimum given by the required frequency domain resolu­tion as the frequency interval must be less than the minimum cut-off fre­quency:

(4.10)   WsDigitalFilteringAnalysisDialogs00028.jpg

 

with the filter width w given in the time domain.

Truncate filter

When filter coefficients are generated it is important to notice the possibility of truncating the filter coefficients. For filters that do not have very low cut-off frequencies, the transfer function will only be marginally affected, but the computational efficiency may be improved considerably. If the filter coeffi­cients are truncated, the filter coefficients corresponding to the largest time lag are omitted.

The truncated filter coefficients should normally be used for filtering.