Output File

 

In the Output File dialog you specify the output file name and folder where to place the data files.

Parameters

For dfs2-type input data following parameters are calculated at each grid point:

·         mean wave direction, MWD 

·         mean directional spreading, DSD

·         significant wave height, Hm0

·         mean wave period, T02

·         spectral peak period, Tp

·         x-component of Hm0 (i.e. Hm0 cos(MWD))

·         y-component of Hm0 (i.e. Hm0 sin(MWD))

The calculation of mean wave direction and spreading complies with the sug­gestions and definitions given by Frigaard et al. (1997).

The definitions are:

·         Mean wave direction

(5.2)   WsDirectionalWaveAnalysisDialogs00014.jpg

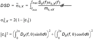
·         Mean directional spreading

(5.3)   WsDirectionalWaveAnalysisDialogs00017.jpg

 

 

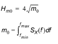
·         Significant wave height

(5.4)   WsDirectionalWaveAnalysisDialogs00020.jpg

 

·         Mean wave period

(5.5)   WsDirectionalWaveAnalysisDialogs00023.jpg

 

·         Spectral peak period

(5.6)   WsDirectionalWaveAnalysisDialogs00026.jpg

where fp is the frequency corresponding to the maximum spectral den­sity.

Log file

You may choose to open the log file after model execution.